RS1328是一款低功耗的八通道12位數模轉換芯片,工作電壓支持2.7V至5.5V,支持SPI、QSPI、Microwire和DSP接口互聯,用于實現數字信號控制輸出模擬電壓、還原模擬信號、或者提供可控制的參考電壓,在工業現場數據采集、各種儀器儀表測量設備\分析設備上有著廣泛的應用。
RS1328基于市場主流產品并根據用戶的應用需求對主要參數做了優化,進一步降低了線性誤差、零碼輸出誤差、增益誤差和滿量程誤差,并在兼顧低功耗的前提下優化提高轉換速率,縮短輸出電壓建立時間,以使其能滿足更多的應用場景。
其主要參數特性如下:
? 保證輸出單調性
? 內置緩沖器,軌對軌電壓輸出
? 上電輸出零電壓
? 支持菊花鏈設計
? 同步輸出
? 各通道獨立關斷
? 兩組獨立的參考電壓,支持0.5V~VA
? 低功耗:
工作模式:
2.25mW(3.0V) / 4.85mW(5.0V)
低功耗模式:
0.3μW(3.0V) / 1.0μW(5.0V)
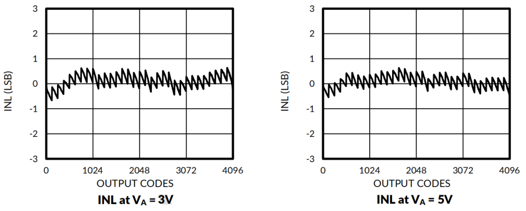
? INL: ±2LSB
? DNL: +0.3LSB/-0.15LSB
? 零碼誤差 4mV(Typ)
? 滿量程誤差 -0.04%FSR
? 輸出電壓建立時間2μs(Typ)
? 擴展級工業溫度范圍:-40°C ~ 125°C
RS1328采用電阻串(Resistor String )架構設計,參考DAC128S085的參數指標,在平衡工藝和實際應用要求的基礎上,實現了優秀的交直流特性。
部分參數曲線如下:
圖1. DNL性能曲線
圖2. INL性能曲線
更詳細的數據和參數曲線請參考規格書。
RS1328封裝和管腳定義
RS1328提供標準TSSOP16封裝,管腳定義完全兼容DAC128S085,歡迎各界工程師朋友致電18038161549品鑒評測。